Home
(501)c Public Notice
Talented Membership
Current Events Fairfield County 2026-2076
Home
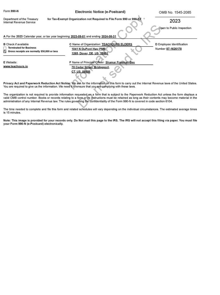
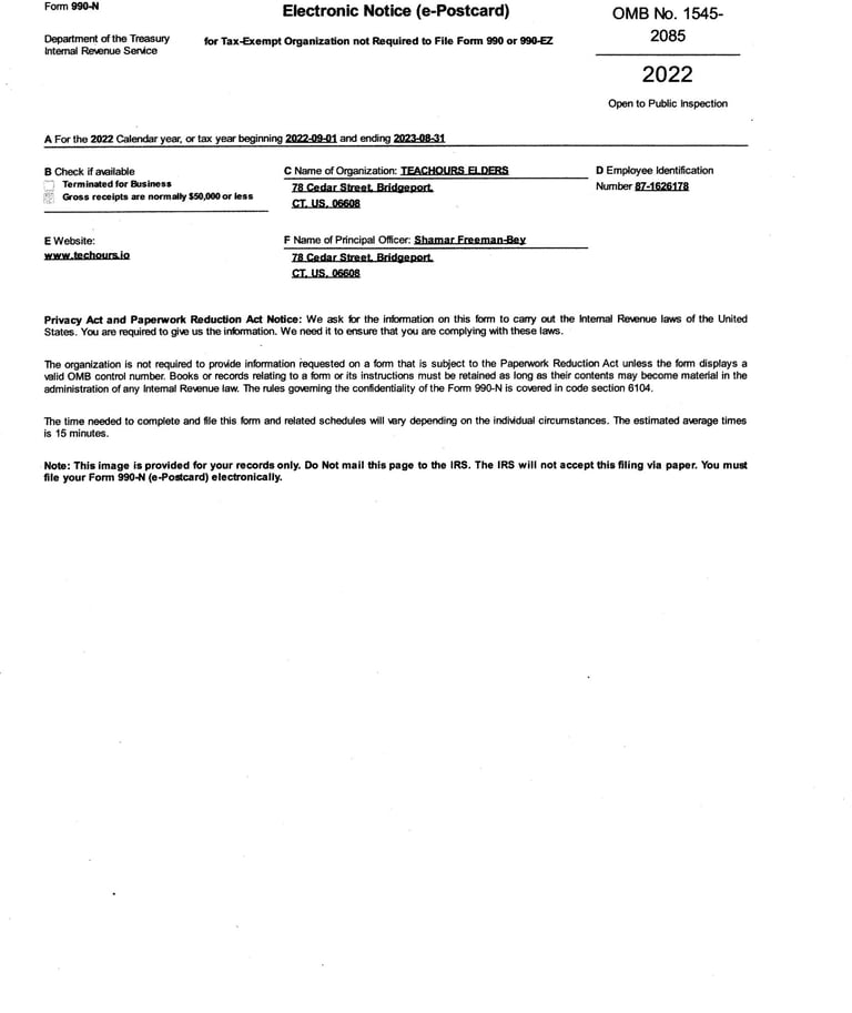
(501)c Public Notice
Talented Membership
Current Events Fairfield County 2026-2076
Exempt Status Public View